Ranking
"Ranking" is a live leaderboard for SIGNATE Competition users. There are two types of indicators: "Tier," which can be earned by the number and color of medals accumulated, and "Points," which decay over time, and the ranking is determined by the results of sorting by priority of tier and point (For data types, only points are used).
Tiers
In SIGNATE Competition, there are seven tiers that you can earn based on your performance in the competition.
The tier will be determined based on the number of medals you have and the results of your submissions in the competition, and will indicate your current achievements and abilities.
(Please refer to the next section, “Tier Acquisition Conditions,” for the types of tiers and their acquisition conditions.)


Tier Acquisition Conditions

* The conditions for Beginner include submissions for Tier-only competitions and Practice competitions.
* Intermediate's requirement of “1 + times in the top 60 percent” applies to medal eligible competitions.
Medals
Medals will be awarded based on the total number of contributors and the final ranking of the eligible competitions.
Whether you are eligible for a medal or not is indicated in the header section of each competition page.
| - 100 Teams | 100 - 249 Teams | 250 - 999 Teams | +1000 Teams | |
Gold![]() | Top 10% | Top 10 | Top 10 (*) | Top 10 (*) |
Silver![]() | Top 20% | Top 20% | Top 50 | Top 5% |
Bronze![]() | Top 40% | Top 40% | Top 100 | Top 10% |
- In competitions where teams can be created, the submitting team (even if it is a single team, it will be counted as one team) will be applied as the submitter.
- For competitions with 250 or more submitters, one additional submitter will be eligible for the Gold Medal for every 500 submitters.
- In a two-stage competition, the number of submitters will be based on the first stage.
- Medals will be awarded based on performance in the competition after the winners are confirmed.
- Medals may not be awarded in some cases, such as when fraud is detected.
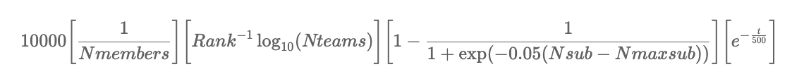
Points
Points are the sum of the results of the formula below, calculated for each competition.
Medals are accumulated, but points are designed to decay over time. Whether you are eligible for points or not is indicated in the header section of each competition page.

- Rank: Rank
- Nteams: Number of unique submitters
- Nmembers: Number of team members in the competition
- Nsub: Number of your submissions
- Nmaxsub: Maximum number of submissions in the competition
- t: Number of days elapsed since the competition finished

- In competitions where teams can be created, the submitting team (even if it is a single team, it will be counted as one team) will be applied as the submitter.
- The higher the ranking of the competition, the more contributors to the competition, the lower the total number of submissions, and the more recent the competition, the larger the calculation result.
- In a two-stage competition, the values of Nteams and Nmaxsub will be applied to the first stage.
- Points will be updated based on performance in the competition after the winners are confirmed.
- Points may not be updated in some cases, such as when fraud is detected.
Guidelines for Earning Tiers
~ The Road to Grandmaster ~
We have a wide variety of competitions to suit everyone's stage.
Step 1: Try the Practices

First, let's try to "Predict Survival on the Titanic"!
If you follow the tutorial, you can win a "Beginner". If you want to take your time and learn from the basics, we recommend taking SIGNATE Cloud (for Personal).
Upper limit:Beginner

Step 2: Try your ability

Once you get used to building models,
test your ability in the monthly Tier-only competitions!
You can enjoy the competition with your rivals who are at the same stage of their careers. If you exceed the specified threshold, you can aim for promotion up to "Intermediate".
Upper limit: Intermediate

Step 3: Challenge to get prizes

Once you've developed your skills,
you can challenge yourself in competitions with prizes to reach even higher levels!
Medals are awarded for top performance, and prizes are awarded for winning. Keep challenging yourself to win the "Grandmaster"!
Upper limit: Grandmaster

Was this article helpful?
That’s Great!
Thank you for your feedback
Sorry! We couldn't be helpful
Thank you for your feedback
Feedback sent
We appreciate your effort and will try to fix the article


